- Posts: 1
Error in modeling a photovoltaic plant with stand-alone batteries
- Radhamés
- Topic Author
Less
More
12 Jun 2024 20:21 #13250
by Radhamés
Error in modeling a photovoltaic plant with stand-alone batteries was created by Radhamés
Good evening,I am new to SAM and trying to model a hybrid photovoltaic plant with stand-alone batteries to determine when to charge and when to sell energy in the market. Based on forum recommendations, I chose the PPA model, set a price of 1, and entered the prices in TOD. However, I encounter the following error:"IRR at end of analysis period is not a number (NaN). This can indicate that revenues are too low to cover costs, or that they are excessively high compared to costs. IRR in target year is not a number (NaN). This can indicate that revenues are too low to cover costs, or that they are excessively high compared to costs. NPV is $-9.84392e 06. A negative NPV indicates project costs are higher than revenues."I understand this means the plant is not profitable, but I'm unsure which values to adjust to obtain a result. Could you please advise if my approach is correct or suggest any adjustments?. I have attached the project file for your reference.
Attachments:
Please Log in or Create an account to join the conversation.
- Paul Gilman
Less
More
- Posts: 5713
13 Jun 2024 17:31 #13259
by Paul Gilman
Replied by Paul Gilman on topic Error in modeling a photovoltaic plant with stand-alone batteries
Hi Radhamés,
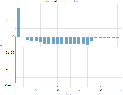
You can use the "Project After-tax Cash Flow" graph on the Summary tab of the Results page to see why the NPV is negative:
In this case, the only year with positive cash flow is Year 1, so the project does not earn enough after-tax revenue to cover the Year 0 cost.
The Help topic for Net Present Value discusses some ways to improve the project economics when the NPV is negative: samrepo.nrelcloud.org/help/mtf_npv.html (or press F1 in SAM to open Help there).
Best regards,
Paul.
You can use the "Project After-tax Cash Flow" graph on the Summary tab of the Results page to see why the NPV is negative:
In this case, the only year with positive cash flow is Year 1, so the project does not earn enough after-tax revenue to cover the Year 0 cost.
The Help topic for Net Present Value discusses some ways to improve the project economics when the NPV is negative: samrepo.nrelcloud.org/help/mtf_npv.html (or press F1 in SAM to open Help there).
Best regards,
Paul.
Please Log in or Create an account to join the conversation.
Moderators: Paul Gilman




