- Posts: 4
LCOS calculation
- Orlando
- Topic Author
Less
More
22 Jul 2022 00:19 #11275
by Orlando
LCOS calculation was created by Orlando
Hello SAM team,
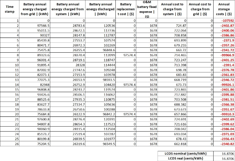
I have a doubt about how to calculate the LCOS. In the following image you can see the annual operation of the storage system. In a general battery system, I am charging the batteries by buying energy from the electrical network, and from the photovoltaic surplus of the installation.
The annual cost of the storage system together with the discharged energy determines the LCOS. However, I don't understand why the annual cost of charging the batteries from the grid is zero, when I am buying energy to charge the batteries at certain times of the day.
The other thing I'd like to clarify is how you calculate the annual cost of uploading from the system. Does this cost refer to the annual degradation of the batteries?
Thanks in advance. Best regards,
Orlando
I have a doubt about how to calculate the LCOS. In the following image you can see the annual operation of the storage system. In a general battery system, I am charging the batteries by buying energy from the electrical network, and from the photovoltaic surplus of the installation.
The annual cost of the storage system together with the discharged energy determines the LCOS. However, I don't understand why the annual cost of charging the batteries from the grid is zero, when I am buying energy to charge the batteries at certain times of the day.
The other thing I'd like to clarify is how you calculate the annual cost of uploading from the system. Does this cost refer to the annual degradation of the batteries?
Thanks in advance. Best regards,
Orlando
Attachments:
Please Log in or Create an account to join the conversation.
- Paul Gilman
Less
More
- Posts: 5713
28 Jul 2022 15:15 #11300
by Paul Gilman
Replied by Paul Gilman on topic LCOS calculation
Hi Orlando,
There is a bug in the LCOS calculation that is causing this problem. We will fix the problem for the Fall 2022 version of SAM:
github.com/NREL/ssc/issues/853
Unfortunately, there is not a workaround solution for this problem.
Thank you for bringing it to our attention.
Best regards,
Paul.
There is a bug in the LCOS calculation that is causing this problem. We will fix the problem for the Fall 2022 version of SAM:
github.com/NREL/ssc/issues/853
Unfortunately, there is not a workaround solution for this problem.
Thank you for bringing it to our attention.
Best regards,
Paul.
Please Log in or Create an account to join the conversation.
Moderators: Paul Gilman




