- Posts: 2
LFP Calendar Degradation
- Miguel Brito
- Topic Author
Less
More
08 Apr 2022 08:44 - 08 Apr 2022 11:43 #10821
by Miguel Brito
LFP Calendar Degradation was created by Miguel Brito
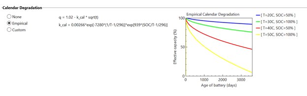
I am trying to understand how SAM calculates calendar degradation using the empirical Calendar Degradation for a Lithium-Ion LFP battery. Supposedly the equations below are used to calculate degradation, however when I try to replicate this calculation with the same equation and variables it gives me different results than the ones shown on the graph.
Looking into the code, the constant "0.00266" is supposed to have "1/sqrt(day)" units, however at a first glance it seems that for the graph values, hours (days*24) are used for the calculation instead of days. For the blue and red curve with moderate SOC, using hours gives me approximate values to the ones shown on the graph. But for the high SOC cases, green and yellow, days gives me the result shown.
I would like to understand if I'm making any mistakes or why this is modelled like such.
Thank you
Looking into the code, the constant "0.00266" is supposed to have "1/sqrt(day)" units, however at a first glance it seems that for the graph values, hours (days*24) are used for the calculation instead of days. For the blue and red curve with moderate SOC, using hours gives me approximate values to the ones shown on the graph. But for the high SOC cases, green and yellow, days gives me the result shown.
I would like to understand if I'm making any mistakes or why this is modelled like such.
Thank you
Attachments:
Last edit: 08 Apr 2022 11:43 by Paul Gilman.
Please Log in or Create an account to join the conversation.
- Paul Gilman
Less
More
- Posts: 5713
08 Apr 2022 11:59 #10823
by Paul Gilman
Replied by Paul Gilman on topic LFP Calendar Degradation
Hi Miguel,
This battery life model is described in Smith, K.; Saxon, A.; Keyser, M.; Lundstrom, B.; Cao, Z.; Roc, A. (2017). Life Prediction Model for Grid-connected Li-ion Battery Energy Storage System. Presented at 2017 American Control Conference. ( PDF 1.4 KB ). You can find links to this and other battery-related publications on the SAM website at sam.nrel.gov/battery-storage/battery-publications.html .
You can find an LK script that replicates the plotting of the graph shown on SAM's Battery Life page on the SAM GitHub repository here: github.com/NREL/SAM/tree/patch/samples/LK%20Scripts%20for%20SAM . See the instructions at the bottom of the page for how to run the scripts.
The script name is battery-life-plot.lk.
Best regards,
Paul.
This battery life model is described in Smith, K.; Saxon, A.; Keyser, M.; Lundstrom, B.; Cao, Z.; Roc, A. (2017). Life Prediction Model for Grid-connected Li-ion Battery Energy Storage System. Presented at 2017 American Control Conference. ( PDF 1.4 KB ). You can find links to this and other battery-related publications on the SAM website at sam.nrel.gov/battery-storage/battery-publications.html .
You can find an LK script that replicates the plotting of the graph shown on SAM's Battery Life page on the SAM GitHub repository here: github.com/NREL/SAM/tree/patch/samples/LK%20Scripts%20for%20SAM . See the instructions at the bottom of the page for how to run the scripts.
The script name is battery-life-plot.lk.
Best regards,
Paul.
Please Log in or Create an account to join the conversation.
- Miguel Brito
- Topic Author
Less
More
- Posts: 2
11 Apr 2022 05:35 - 11 Apr 2022 10:09 #10826
by Miguel Brito
Replied by Miguel Brito on topic LFP Calendar Degradation
Hi Paul,
Thank you for the quick response.
I have now solved the issue, thank you! Seems that there are two differences between the formula presented and the one actually being used:
k_cal=0.00266*np.exp(-7280*((1/T)-(1/296)))*np.exp(930*((SOC/T)-(SOC/296)))
The parameters in bold differ from the presented formula and lead to mistakes when using them.
Thank you.
Best regards,
Miguel Brito
Thank you for the quick response.
I have now solved the issue, thank you! Seems that there are two differences between the formula presented and the one actually being used:
k_cal=0.00266*np.exp(-7280*((1/T)-(1/296)))*np.exp(930*((SOC/T)-(SOC/296)))
The parameters in bold differ from the presented formula and lead to mistakes when using them.
Thank you.
Best regards,
Miguel Brito
Last edit: 11 Apr 2022 10:09 by Paul Gilman.
Please Log in or Create an account to join the conversation.
- Paul Gilman
Less
More
- Posts: 5713
11 Apr 2022 10:11 - 11 Apr 2022 10:37 #10827
by Paul Gilman
Replied by Paul Gilman on topic LFP Calendar Degradation
Hi Miguel,
Yes, I will fix the inconsistencies between the equations shown on the Battery Life page and the sample LK script.
For reference, here is the equation in the source code that SAM uses for the calculation during simulations:
github.com/NREL/ssc/blob/41eaf8a5a92b0f846cfa6d71012eaf54353c2640/shared/lib_battery_lifetime_calendar_cycle.cpp#L532
Best regards,
Paul.
Yes, I will fix the inconsistencies between the equations shown on the Battery Life page and the sample LK script.
For reference, here is the equation in the source code that SAM uses for the calculation during simulations:
github.com/NREL/ssc/blob/41eaf8a5a92b0f846cfa6d71012eaf54353c2640/shared/lib_battery_lifetime_calendar_cycle.cpp#L532
Best regards,
Paul.
Last edit: 11 Apr 2022 10:37 by Paul Gilman.
Please Log in or Create an account to join the conversation.
Moderators: Paul Gilman




